ГРУППА
208. МАТЕМАТИКА. ТЕМА « ПРИМЕНЕНИЕ ОПРЕДЕЛЁННОГО ИНТЕГРАЛА ДЛЯ
НАХОЖДЕНИЯ ПЛОЩАДИ КРИВОЛИНЕЙНОЙ ТРАПЕЦИИ»
Что такое определенный
интеграл? Чем
он отличается от неопределенного, с
которым мы уже достаточно знакомы.
Сравните:
a и b — это границы, в которых изменяется переменная интегрирования х.
Сравниваем далее:
Неопределенный
интеграл графически представляет собой семейство кривых, совмещаемых
параллельным переносом .
Определенный интеграл (см. рисунок слева) представляет собой криволинейную трапецию, ограниченную сверху графиком функции y=f (x), снизу — осью Ох, а слева и справа прямыми x=a и х=b.
Пример 1.
Найдем первообразную F (x) для подынтегральной функции f (x)=3x²-2x+1, а
затем применим формулу Ньютона-Лейбница (ф. Н-Л).
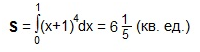
Пример 2.
Полученный
результат
выражает площадь криволинейной трапеции, ограниченной графиком функции y=(x+1)4, осью Ох и прямыми: х=0 (осью Оy) и х=1.
График
функции y=(x+1)4 - парабола, ветви которой направлены
вверх,
а
вершина находится в точке О′(-1; 0).
Площадь
этой криволинейной трапеции:
1. Запишите и
ответьте на вопросы:
- что такое определённый интеграл и
чем он отличается от неопределённого?
- что собой представляют графически
эти интегралы?
- чему равна площадь криволинейной
трапеции?
Найти площадь
криволинейной трапеции, ограниченной прямыми х = а, х =b осью Ох графиком
функции у =f(x) :
1. а = 2,
b = 4 f(x) = х3
2 a =
3 b = 4 f(x) = х2
3 a = 0 b = 2
f(x) = х3 + 1






Комментариев нет:
Отправить комментарий